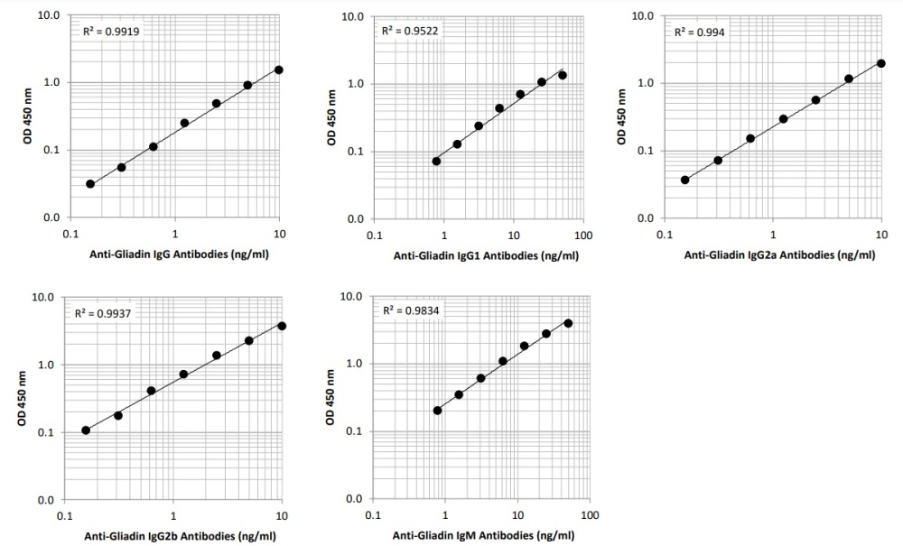
Mouse Anti-Gliadin IgG2a Antibody Assay Kit

Catalog No.
3053
Quantity
1 Kit
Price
$439.00

Quote Request

Mouse Anti-Gliadin Antibody Assay Kits

NEWS, ANNOUNCEMENTS, PROMOTIONS AND MORE

Join Our Mailing List